公司新闻

?“人生意义何在乎?为人群灭除病苦”,颜福庆诞辰140周年纪念展将延至2023年春天开幕

转自:上观新闻

1910年11月初,哈尔滨报告了第一例鼠疫病例,震惊世界的东北鼠疫开始为世人知晓。为阻止鼠疫沿着京汉铁路向南蔓延,1911年春,两湖总督向长沙雅礼医院紧急求助,请求征调一名医生到湖北指导防疫。

这位被征调的医生是上海人,时年29岁。他当机立断地在京汉铁路成立卫生服务部,给服务部每个成员注射鼠疫疫苗,同时组织发动起社会各界,包括使用防鼠警察、奖励民间捕鼠者、在京汉铁路沿线各主要车站设立监视员、在黄河以北各主要公路沿途城镇及黄河以南的手推车道和人力车道设立巡警……经过他临危不惧的协调,华中地区这场全民参与的防疫战完成了。湖北防疫公所奖励给这位医生一枚奖牌。

这位医生,就是湘雅医学专门学校(中南大学湘雅医学院前身)、湖南仁术医院(今湖南省人民医院前身)、国立第四中山大学医学院(1932年独立为国立上海医学院,简称上医。1952年更名为上海第一医学院。1985年更名为上海医科大学。今为复旦大学上海医学院)、上海中山医院、澄衷肺病疗养院(上海市肺科医院前身)的创办者,医学教育家、公共卫生学家颜福庆。

今年是我国现代医学教育奠基人

颜福庆诞辰140周年

因受疫情影响

解放日报“大师在上海”系列展之

《惟君建树忙——颜福庆诞辰140周年纪念展》

将延至2023年春天开幕

下文为纪念展前言

在这个特殊年份的岁尾

提前刊发此文

作为对这位中国公共卫生

和防疫事业的先驱者的特别致敬

【微言 懋功 清德

在颜福庆先生诞辰140周年的今天,他在中国现代医学史上的地位越来越为人们了解,他对中国现代医学教育的贡献也越来越受到称颂。然而正如一位医者在纪念文章中所说:“我们用不着歌颂他,因为他生平从不在意别人的歌颂,也不在乎自己的地位。”——这样的理解,先生有知,当心许之。

尽管如此,颜福庆终究还是给我们留下了弥足珍贵的遗产,他的微言、懋功、清德,值得今人特别是学医从医者们用才智来研究、用行动来继承、用灵魂来自审。

颜福庆的医学思想只有四个字:“预防为主”;他为中国社会大众勾画的医疗卫生系统也只有三个字:“公医制”。然而“预防为主”与“公医制”理念所蕴含的高度和内涵,却随着时间的推移,经验和教训的积累,日益显现其前瞻和深刻:这是他的微言大义。

颜福庆毕生之功业,从创建湘雅、上医、中山,到发起中华医学会、创办吴淞卫生模范区等等,今日视之,得其之一即可名载医史,而颜福庆非但皆能肇举奠基,更以其勇毅坚韧,历万难而不弃,得将诸项事业传之后世,赓续壮大:这是他的懋功伟绩。

翻开《颜福庆传》,扉页有题词:“医学教育先驱,知识分子楷模”。颜福庆一生,既实践了中国近代知识分子救国济民的共同抱负,更涵养了淡泊从容、外圆内方的个人品格。为了服务人群的崇高理想,他既可以亲入黑暗险幽的矿井、污秽脏乱的疫区,为劳苦民众灭除病苦,也可以周旋于达官显贵名流士绅之间,为医学教育奔走劝募。面对成就,他为而不恃,功成而弗居;领袖席前,他笃敬诚实,绝不趋时邀宠。不惊于生前荣辱,更遑论身后毁誉,颜福庆守护了自己作为知识分子的节操和尊严,直到生命最后一刻:这是他的清德高洁。

中国知识分子历来将“立德、立功、立言”奉为人生的终极意义。颜福庆终其88载之一生,从未对这“三不朽”有过刻意的追求,即便在饱受冤屈折辱的晚年,也未作“老冉冉其将至兮,恐修名之不立”的一声叹息。但是在身后,他的德行、功业和学说却愈为世人所传颂,为历史所铭记。

不修名而修名自立、不居功而功业不朽——颜福庆此其人也!

可以在这个展览看到什么?

部分展品

展厅效果图展厅效果图

1906年,颜福庆插班考入耶鲁大学医学院二年级就读。三年后27岁的颜福庆以出色的成绩和论文,被授予最高荣誉——优秀博士毕业生(cum laude),此为耶鲁大学颜福庆档案中保留的颜福庆毕业照。

1910年冬,震惊世界的东北鼠疫爆发,为防止鼠疫沿京汉铁路向南蔓延,颜福庆亲赴湖北协调指挥,打胜了这场全民参与的公共卫生战役。图为颜福庆与京汉铁路鼠疫防疫同事的合影。

“人生意义何在乎?为人群服务。服务价值何在乎?为人群灭除痛苦。”1935年,时任国立上海医学院院长的颜福庆邀请好友黄炎培为上医填写校歌歌词,将“为人群服务”写入校歌。

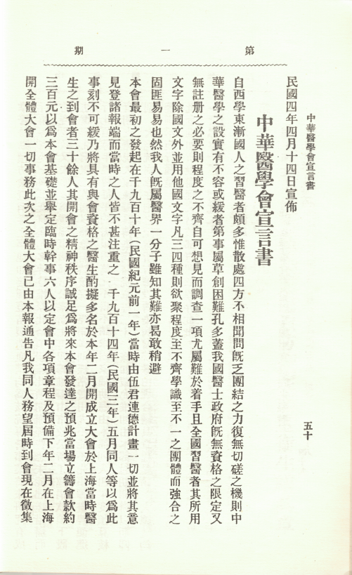
1915年2月5日,颜福庆等21人在上海集会,成立中华医学会。颜福庆被推选为首任会长。在颜福庆起草的《中华医学会宣言书》中,他阐述中华医学会宗旨为:巩固医家交谊,尊重医德医权,普及医学卫生,联络华洋医界。

作者:慕卿?沈轶伦

海量资讯、精准解读,尽在新浪财经APP

平台注册入口